Background & Significance:
Acute Myeloid Leukemia (AML) is a hematological malignancy characterized by the rapid proliferation of abnormal myeloid cells. Intensive chemotherapy has been the main stay of therapy in young adults whereas Azacytidine and Venetoclax based therapy is preferred in older and unfit patients of AML. As per Indian Acute Leukemia Research Database of (INwARD) of the Hematology Cancer Consortium, 3+7 is the most commonly used intensive chemotherapy in India induction mortality (n=392) is 16.9% (range 6.1 - 43%). (1) Another Indian Study of acute leukemia (n=268), highlighted that 54% had baseline infections. Only 40% of infected patients received induction therapy as compared to 93% of non-infected patients. Venetoclax has improved outcomes in AML. There is an unmet need for protocols for younger patients who are unfit for 3+7 due to multi drug resistant baseline infections or ECOG ≥2 or organ dysfunction. Poor risk cytogenetics and mutations are associated poor response to intensive therapies. We did retrospective comparative analysis of overall outcomes in patients receiving intensive chemotherapy versus non-intensive chemotherapy in a tertiary care centre of North India
Material & Methods:
We did a retrospective comparison of intensive chemotherapy 3+7/ FLAG based therapy versus Azacytidine and Venetoclax based therapy since 2019. Institutional electronic medical record software (PARAS) was utilized to identify patients. Type of therapy was decided as per physician discretion. Patients who were elderly (age >60 years), ECOG PS 2 or more, or clinic-radiological evidence of infection. Intensive therapy included received Inj. Daunorubicin 60 mg/m2 IV once daily for 3 days and Inj. Cytarabine 100 mg/m2 IV as a continuous infusion for 7 days. Or FLAG/VEN based therapy Inj. Fludarabine 30 mg/m2 IV once daily for 4 days, Cytarabine 1500 mg/m2 IV once daily for 4 days. Inj. Filgrastim (biosimilar)5 mcg/kg s/c once daily from day 1 to ANC > 500 cells/ μL. Non-Intensive therapy arm received Inj. Azacytidine @75mg/m2 for 7 days with Tab Venetoclax 100mg once a day for 7-14 days as per patient tolerance. Posaconazole was used as a anti-fungal prophylaxis. We recorded baseline characteristics, type of therapy, compared the tolerability and efficacy of both the regimens. We did survival analysis using Kaplan Meier Curves and statistical analysis using SPSS version 25.
Results:
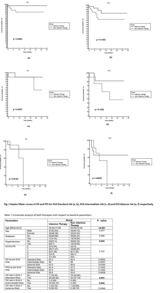
Baseline Data is presented in Table 1, 69 patients received intensive chemotherapy and 58 patients received non-intensive therapy. Patient in the intensive therapy arm were younger and fit whereas patients were older in the non-intensive therapy arm. Post Induction bone marrow evaluation was done between day 28 to day 35 post therapy. CR rate was 78.2 per cent in Intensive therapy arm v/s 51.7 per cent in non-intensive therapy arm. Patients were stratified as per ELN risk category. Patients in the standard risk and intermediate risk groups did better in the intensive therapy arm but outcome did not differ in patients of poor risk ELN category patients. Fig:1 Non- intensive therapy was better tolerated with fewer grade 3 or more febrile neutropenia and fewer 3 rd line antibiotics lesser duration of stay. The decision between intensive and non-intensive chemotherapy should be carefully individualized, considering patient age, performance status, cytogenetic risk, and comorbidities.
Conclusion:
Our study re-affirms the role of intensive chemotherapy in younger and fitter patients, however in adverse risk ELN patients non-intensive therapy appears non inferior to intensive therapy
Disclosures
No relevant conflicts of interest to declare.

This feature is available to Subscribers Only
Sign In or Create an Account Close Modal